-
두뇌건강이라 함은 뇌 인지기능 및 기억력, 집중력, 사고력, 운동능력 등 다양한 부분에서 다루어지고 있습니다. 오늘은 뇌인지기능 향상에 좋은 포스파디딜세린에 효능과 고려사항 등에 대해 알아보도록 하겠습니다.

포스파티딜세린(PS) 이란?
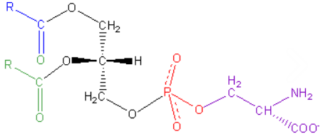
포스파티딜세린(phosphatidylserine,PS)은 특히 뇌에서 세포막의 구조와 기능을 유지하는 데 중요한 역할을 하는 자연 발생 인지질입니다.

포스파티딜세린(PS)은 우리 몸에 자연적으로 존재하지만 식이 공급원이나 건강 보조 식품을 통해 얻을 수도 있습니다.
수년에 걸쳐 연구가 이루어지고 있는데 인간 건강 및 인지 기능의 다양한 측면에서 포스파티딜세린의 잠재적 효능이 있음이 밝혀지고 잇습니다. 이러한 이점 중 일부를 자세히 살펴보겠습니다.
포스파티딜세린의 이해
포스파티딜세린은 두 개의 지방산 사슬, 글리세롤 백본 및 세린 분자로 구성된 인지질입니다. 그것은 주로 세포막, 특히 뇌 세포에서 발견되며 유동성과 무결성에 기여합니다.

우리 몸은 포스파티딜세린을 합성할 수 있지만 생선(특히 고등어와 청어), 내장육(예: 간), 대두, 흰 콩과 같은 특정 식품에서도 발견됩니다. 그러나 식이 공급원을 통해서만 적절한 수준의 포스파티딜세린을 얻는 것은 어려울 수 있으므로 보충이 종종 고려됩니다.
포스파티딜세린의 정의 및 특성
연구에 따르면 포스파티딜세린 보충은 기억력과 학습 능력에 긍정적인 영향을 미칠 수 있습니다. 아세틸콜린과 같은 기억 형성에 관여하는 신경 전달 물질의 기능을 향상하는 것으로 여겨집니다. 포스파티딜세린은 노화와 관련된 인지 저하 및 기억력 손상을 완화할 수 있는 가능성에 대해 연구되었습니다.
여러 임상 시험에서 인지 성능을 개선하고 노인의 인지 저하를 줄이는 효능이 입증되었습니다.포스파티딜세린은 또한 스트레스 반응을 조절하고 기분을 개선하는 역할을 할 수 있습니다. 연구에 따르면 스트레스와 관련된 호르몬인 코르티솔 수치를 조절하고 행복감을 촉진할 수 있다고 합니다.
기억력 및 학습향상의 효과
포스파티딜세린은 인지 기능을 향상시키는 잠재력으로 주목을 받았습니다. 여러 연구에 따르면 포스파티딜세린을 보충하면 다양한 연령대의 개인에서 기억력, 주의력 및 인지 능력을 향상할 수 있습니다. 포스파티딜세린은 뇌 세포 간의 통신을 지원하여 효율적인 신경 전달을 촉진하고 최적의 인지 과정을 촉진하는 것으로 여겨집니다.
인지력 및 학습향상의 효과
나이가 들어감에 따라 인지 기능 저하가 일반적인 관심사가 됩니다. 포스파티딜세린은 노화와 관련된 인지 저하 및 기억력 손상을 완화하는 데 도움이 되는 것으로 나타났습니다. 임상 시험에서 포스파티딜세린 보충이 노인의 기억력, 주의력 및 전반적인 인지 기능을 향상하는 데 도움이 될 수 있음이 입증되었습니다. 뇌 세포 구조와 기능을 지원함으로써 포스파티딜세린은 나이가 들어감에 따라 인지 능력을 보존하는 데 도움이 될 수 있습니다.
스트레스 감소 및 기분향상
포스파티딜세린은 신체의 스트레스 반응을 조절하는 것으로 밝혀졌습니다. 만성 스트레스는 인지 기능과 기분에 해로운 영향을 미칠 수 있습니다. 포스파티딜세린 보충은 주요 스트레스 호르몬인 코티솔 수치를 감소시키는 잠재력을 보여주었습니다. 포스파티딜세린은 코르티솔 수치의 균형을 유지함으로써 개인이 스트레스에 더 잘 대처하고 이완을 촉진하며 기분을 개선하도록 도울 수 있습니다.
스포츠 성능 개선의 효과
포스파티딜세린은 또한 스포츠 성능에 미치는 영향에 대해 연구되었습니다. 육체 노동과 격렬한 운동은 스트레스 호르몬 수치를 증가시켜 피로와 근육 손상을 유발할 수 있습니다. 포스파티딜세린 보충은 이러한 효과를 완화하는 데 있어 가능성을 보여주었습니다.
근육 손상 감소, 운동 능력 향상, 회복 향상 및 전반적인 운동 능력 지원에 도움이 될 수 있습니다.
또한 강렬한 신체 활동 중에 스트레스 호르몬 반응을 조절하는 것으로 나타났습니다. 코르티솔 급증을 둔화함으로써 운동선수가 스트레스를 더 잘 관리하고 최적의 성능을 유지하는 데 도움이 될 수 있습니다.
ADHD 및 인지 장애 개선의 효과
주의력 결핍 과잉 행동 장애(ADHD) 및 특정 인지 장애는 개인의 일상 생활에 상당한 영향을 미칠 수 있습니다. 포스파티딜세린 보충은 이러한 상태에 대한 잠재적 보완 치료법으로 조사되었습니다. 연구가 진행되는 동안 일부 연구에서는 포스파티딜세린이 과잉 행동, 충동성 및 부주의와 같은 ADHD 증상을 개선할 수 있다고 제안합니다. 또한 알츠하이머병 및 치매를 포함한 인지 장애가 있는 개인에게도 가능성이 있습니다.
신경보호 및 뇌건강 효과
두뇌 건강을 유지하는 것은 최적의 인지 기능과 전반적인 웰빙에 매우 중요합니다. 포스파티딜세린은 뇌 세포를 보호하고 지원하는 데 중요한 역할을 합니다. 신경세포막의 기능을 향상시키며 시냅스에서 신경전달물질의 방출 및 전달 조절작용을 원활하게 해줍니다. 또한 수상돌기의 밀도를 높여줍니다.

또한 뇌의 산화 스트레스와 염증을 줄이는 데 도움이 되는 항산화 및 항염증 특성을 가지고 있는 것으로 나타났습니다.
뇌 세포의 무결성과 기능을 촉진함으로써 포스파티딜세린은 장기적인 뇌 건강에 기여할 수 있습니다. 따라서 신경보호 뇌건강에도 포스파티딜세린은 적지 않은 도움이 됩니다.
수면의 질 향상
적절한 수면은 인지 기능, 기억 강화 및 전반적인 건강에 매우 필수적입니다. 포스파티딜세린은 수면의 질을 향상시키는 잠재적인 역할에 대해 탐구되었습니다. 일부 연구에 따르면 포스파티딜세린 보충제는 수면-각성 주기를 조절하고 수면의 질을 향상시켜 인지 기능과 주간 주의력을 향상시키는 데 도움이 될 수 있습니다.
안전 및 고려사항
결론적으로, 포스파티딜세린은 인지 기능, 기억력 향상, 스트레스 감소 및 스포츠 성과를 촉진하는 데 도움이 되는 인지질입니다.포스파티딜세린을 적절한 복용량으로 복용할 때 대부분의 개인에게 안전한 것으로 간주됩니다. 어떤 경우에는 배탈이나 가스와 같은 가벼운 소화 문제가 보고되었습니다. 특히 기저 질환이 있거나 약물을 복용 중인 경우 새로운 보충 요법을 시작하기 전에 의료 전문가와 상담하는 것이 중요합니다.
'건강정보' 카테고리의 다른 글
장수유전자 활성으로 건강하게 장수하는 실천적이고 과학적인 방법에 대한 정보 1 (0) 2023.07.12 건강과 장수를 위한 10가지 과학적인 실천방법 알아보기 (0) 2023.07.12 노화의 증상과 항노화를 위한 과학적인 방법 알아보기-mitohormesis (0) 2023.06.25 장 건강을 위해 필수적으로 먹어야 할 채소/ 브로콜리와 당근 (0) 2023.06.01 국민체력100,스포츠활동 인센티브 알아보기 (0) 2023.05.05
